NeverWorld2 初始状态与边界条件

# Initial condition

# Ocean

# Temperature

The initial temperature is a function of both latitude (ϕ\phi, in radians) and ocean depth (zz, in meters). The surface temperature SST(ϕ)SST^*(\phi) is defined as a piecewise cubic function that interpolates between the values (yy) -1.033, 28.3, and -30°C at latitudes (ϕ\phi) -67.803, -2.803, and 137.197, respectively. The initial temperature is defined as a function of the surface temperature and depth, T(z,ϕ)T^*(z,\phi), which is defined as

T(z,ϕ)=1612tanh(z400700)1tanh(500z150)21(ϕ75)20.75+(15(1tanh(z501500))1.4tanh(z100100)+7(1500z)1500)SST(ϕ)23.51tanh(z500150)2.T^*(z,\phi) = 16 - 12 \cdot \tanh\left(\frac{z-400}{700}\right) \cdot \frac{1-\tanh\left(\frac{500-z}{150}\right)}{2} \cdot \frac{1-\left(\frac{\phi}{75}\right)^2}{0.75} + \left(15 \cdot \left(1-\tanh\left(\frac{z-50}{1500}\right)\right) - 1.4 \cdot \tanh\left(\frac{z-100}{100}\right) + \frac{7 \cdot (1500-z)}{1500}\right) \cdot \frac{SST^*(\phi)}{23.5} \cdot \frac{1-\tanh\left(\frac{z-500}{150}\right)}{2}.

where SST(ϕ)SST^*(\phi) is the surface temperature defined above.

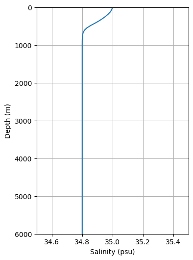
# Salinity

The initial salinity is uniform at each layer and defined as a function of depth, S(z)S^*(z), which is defined as

S(z)=34.8+(0.55+1.255000z50001.62tanh(z60650)+0.2tanh(z35100)+0.2tanh(z10005000))0.21.841tanh(z500150)2.S^*(z) = 34.8 + (0.55 + 1.25 \frac{5000-z}{5000} - 1.62 \tanh\left(\frac{z-60}{650}\right) + 0.2 \tanh\left(\frac{z-35}{100}\right) + 0.2 \tanh\left(\frac{z-1000}{5000}\right)) \cdot \frac{0.2}{1.84} \cdot \frac{1-\tanh\left(\frac{z-500}{150}\right)}{2}.

Salinity

# Ice

There is no ice in the initial condition.

# Surface boundary condition

# Ocean

# Wind stress

The wind stress is purely zonal. We construct the wind stress from piecewise cubic functions that interpolate between the values (yy) -0.05, 0.2, -0.1, -0.02, -0.1, 0.1, and 0 Pa at latitudes (ϕ\phi) -75, -45, -15, 0, 15, 45, and 70, respectively.
Then we add a seasonal cycle to the wind stress, which are
ϕt=ϕ+3cos(2πt0.79)\phi_t=\phi+3\cos(2\pi t-0.79), where tt is the time in years (normalized between 0 and 1 within the year) and yt=y/144(cos(2πt0.79)+12)2y_t=y/144*(\cos(2\pi t-0.79)+12)^2

# Heat flux

The thermodynamic forcing also follows a meridional structure and is enforced on the model’s surface through a restoring condition to the predefined annual cycle of apparent temperature, SSTfSST_f , defined as a piecewise cubic function that interpolates between the values (yy) -3, 28.3 and -30°C (corresponding index are i=1,2,3i=1,2,3) at latitudes (ϕ\phi) -65, 0 and 140, respectively.
Seasonal variations are added, which are
ϕt=ϕ+3cos(2π(t0.558))\phi_t=\phi+3\cos(2\pi (t-0.558)) and
yt={y0.5cos(2π(t0.558)),i=1y,elsewherey_t=\left\{\begin{matrix} y-0.5\cos(2\pi (t-0.558)),i=1 \\ y,elsewhere \end{matrix}\right.

Total surface heat flux (i.e., QtotQ_{tot}, split into solar part QsrQ_{sr} and non-solar part QnsQ_{ns}, both in Wm2Wm^{-2}) is in proportion to SSTfSSTSST_f-SST, with SST the model’s instantaneous surface temperature. QtotQ_{tot} is defined in

Qtot(ϕ,t)=40(SSTf(ϕ,t)SST(ϕ,t))=Qsr(ϕ,t)+Qns(ϕ,t)Q_{tot}(\phi,t) =-40\cdot(SST_f(\phi,t)- SST(\phi,t))= Q_{sr}(\phi,t)+Q_{ns}(\phi,t)

where

Qsr(ϕ,t)=max(230cos(0.019ϕ0.447cos(2π(t0.475))),0)Q_{sr}(\phi,t) =\max(230\cdot\cos(0.019\cdot\phi-0.447\cdot\cos(2\pi(t-0.475))),0)

# Evaporation minus precipitation (EMP) flux

The EMP flux is purely zonal. We construct the EMP flux from piecewise cubic functions that interpolate between the values (yy) 0, -0.5, 1.1095246481, -1.2, 1, -0.5, and 0 Kg/m2/s/(3.16105)Kg/m^2/s/(3.16*10^{-5}) at latitudes (ϕ\phi) -75, -55, -20, 5, 30, 50, and 80, respectively.
Then we add a seasonal cycle to the EMP flux, which is
yt=y(1cos(2π(t0.475))/8)y_t=y*(1-\cos(2\pi(t-0.475))/8).

# Ice

# Wind stress

Set as the same as ocean.

# Heat flux

SSTfSST_f is set as -1.9°C on the ice, still compare to model’s instantaneous surface temperature. QtotQ_{tot}, QnsQ_{ns} and QsrQ_{sr} are set according to the same formula as ocean.

# Evaporation minus precipitation (EMP) flux

Set as the same as ocean. But QempQ_{emp} is set as 0 on the ice.

# Others

Snow precip and ice sublimation are set as 0 on the ice.

Edited on Views times